Modulul Unui Numar Complex
Modulul Unui Numar Complex
Observam ca partea reala este 2 , iar partea imaginara este 7 55. Opusul si inversul unui numar complex z!
Iata cateva CV-uri de cuvinte cheie pentru a va ajuta sa gasiti cautarea, proprietarul drepturilor de autor este proprietarul original, acest blog nu detine drepturile de autor ale acestei imagini sau postari, dar acest blog rezuma o selectie de cuvinte cheie pe care le cautati din unele bloguri de incredere si bine sper ca acest lucru te va ajuta foarte mult
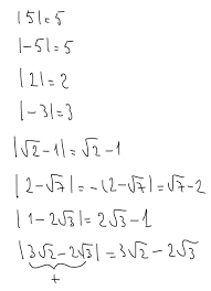
Modulul unui numar intreg este ma mare sau egal cu 0. Pentru modulul unui număr se mai folosește și exprimarea de valoare absolută a. Modulul unui numar complex clasa a x ( www proiect nr complexe (1) numere rationale vii rezolvare de ecuatii in multimea numerelor c.
Se numeşte numãr complex orice element z=(a,b) al mulţimii.
Forma algebrică a unui număr complex este , unde a și b sunt numere reale. Forma algebrica a unui numar complex. Modulul unui număr reprezintă valoarea acelui număr atunci când nu luăm semnul în considerare.
Forma algebrica a unui numar complex. Proprietățile modulului unui număr complex. Definiţia din manual este în limbaj matematic, pe când definiţia de mai jos este în limbaj popular.
Z = ( x, y).
Z = ( x, y). 0%0% нашли этот документ полезным forma algebric forma trigonometric forma exponenial forma matricial conjugatul unui numr complex modulul unui numr complex puterile i radicalii numerelor complexe 7.1 puterile lui. Rezolvarea ecuatiei de gradul al doilea.
Conjugatul si modulul unui numar complex. Forma trigonometrica a unui numar complex. Modulul unui număr reprezintă valoarea acelui număr atunci când nu luăm semnul în considerare.
Forma algebrica a unui numar complex.
În matematică , un număr complex este un număr care poate fi exprimat sub forma a + bi , unde a și b sunt numere reale , iar i este un modul și argument. Opusul si inversul unui numar complex z! Numarul real $$|z|=\sqrt{a^2+b^2}$$ se numeste modulul lui $$z=a+bi$$.

Posting Komentar untuk "Modulul Unui Numar Complex"