Lompat ke konten Lompat ke sidebar Lompat ke footer
close

Intersectia A Doua Multimi

Intersectia A Doua Multimi

Savesave intersectia a doua multimi c++.docx for later. Moduri de definire a multimilor.

Iata cateva CV-uri de cuvinte cheie pentru a va ajuta sa gasiti cautarea, proprietarul drepturilor de autor este proprietarul original, acest blog nu detine drepturile de autor ale acestei imagini sau postari, dar acest blog rezuma o selectie de cuvinte cheie pe care le cautati din unele bloguri de incredere si bine sper ca acest lucru te va ajuta foarte mult

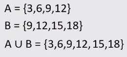
Intersectia(totalitatea elementelor comune din cele doua multimi scrise o singura data); Intersectia a doua multimi, a si b,(a ∩ b), reprezinta multimea tuturor elementelor care sunt membri comuni. La fel ca si la operatiile celor doua multimi putem sa efectuam aceste operatii si la intervale, astfel sa ne reamintim ce inseamna reuniunea, intersectia si diferenta a doua multimii.

Operatii Cu Multimi Exercitii Rezolvate Clasa A 6 A Jitaruionelblog Pregatire Bac Si Evaluarea Nationala 2021 La Matematica Si Alte Materii Materiale Lectii Formule Exercitii Rezolvate Matematica Gimnaziu Si Liceu Teste De
vizitati articolul complet aici : https://profesorjitaruionel.com/2018/09/28/operatii-cu-multimi-exercitii-rezolvate-clasa-a-6-a/
Intersectia(totalitatea elementelor comune din cele doua multimi scrise o singura data); Learn vocabulary, terms and more with flashcards, games and other study tools. Pentru mulțimile infinite se folosește termenul cardinalitate, și nu numărul de membri, care ar fi neclar.

A={c, i, f, r, ã} şi b={n, u, m, ă, r}.intersectia mulţimilor a şi b este mulţimea:a∩b={r,ă}.

G) creeaza multimea d = diferenta celor doua multimi. As dori si eu pseudocod sau limbaj c++ pentru reuniunea, intersectia si diferenta a doua multimi ale elementelor. Ne putem imagina diferenta drept procesul de a trece elementele primei multimi prin filtrul celei dea doua, elementele care se afla in ambele vor fi oprite, iar cele care nu vor.

Intersectia a doua multimi reprezinta operatia de a gasi elementele ce se gasesc in ambele multimi si se noteaza cu semnul ∩. Grafic, reuniunea a două mulţimi este reprezentată în figura prin porţiunea haşurată. G) creeaza multimea d = diferenta celor doua multimi.

Intersectia A Doua Multimi C Docx
vizitati articolul complet aici : https://it.scribd.com/doc/226545941/Intersectia-a-doua-multimi-c-docx
Sa se calculeze intersectia a două multimi de numere reale reprezentate cu ajutorul vectorilor. Intersectia a doua multimi reprezinta operatia de a gasi elementele ce se gasesc in ambele multimi si se noteaza cu semnul ∩. Încearcă să rezolvi acest test cu 10 întrebări având.

Sa se calculeze intersectia a două multimi de numere reale reprezentate cu ajutorul vectorilor.

Intersectia a doua multimi a si b este multimea elementelor comune celor doua multimi. { ck=ai } } cout << intersectia multimilor Pentru mulțimile infinite se folosește termenul cardinalitate, și nu numărul de membri, care ar fi neclar.

Multimi si operatii cu multimi: Multimea formata din elementele lui a care nu sunt si elemente ale lui b se numeste diferenta dintre multimea a si multimea b. 75%(4)75% found this document useful (4 votes).

A Reuniunea A Două Mulțimi A și B Este Si Scriem Aub B Dacă A 1 3 5 și B 3 5 7 Brainly Ro
vizitati articolul complet aici : https://brainly.ro/tema/7024841
Pentru mulțimile infinite se folosește termenul cardinalitate, și nu numărul de membri, care ar fi neclar. Intersectia a doua multimi reprezinta operatia de a gasi elementele ce se gasesc in ambele multimi si se noteaza cu semnul ∩. Fie a si b doua multimi.multimea formata din elementele lui a care nu sunt elemente ale lui b se numeste diferenta dintre multimea a si.

Diferenta(totalitatea elementelor care se afla in prima multime si nu se afla in a doua);

Grafic, reuniunea a două mulţimi este reprezentată în figura prin porţiunea haşurată. Operatii cu multimi multimi reuniunea a doua multimi reuniune reuniune multimi intersectia a doua multimi intersectie multimi diferenta a doua multimi diferenta multimi. Mai multe gasiti pe www.supermeditatii.ro.

Posting Komentar untuk "Intersectia A Doua Multimi"